HUMRC-PS:通过区域卷积神经网络和鹈鹕搜索优化彻底优化植物表型分析


发布时间:

2024-10-06

来源:

作者:

在农业中,植物表型是评估一系列植物性状的关键过程,这些性状对作物管理和改良至关重要,如植物高度、叶面积、开花时间和抗病性。植物表型分析中采用的传统方法经常遇到重大挑战,包括耗时的程序,数据处理效率低下,易受环境变化的影响。这些限制阻碍了有效农业实践所需的准确性和可扩展性。为了解决这些问题,本文介绍了混合U掩膜区域卷积鹈鹕搜索(Hybrid U Mask Regional Convolutional Pelican Search,HUMRC-PS)方法作为植物表型分析的一种创新方法。这种方法利用先进的技术来克服传统技术的缺点。具体来说,HUMRC-PS利用基于掩模区域的卷积神经网络(Region-based Convolutional Neural Networks,RCNN),一种复杂的深度学习架构,在图像中准确分割植物区域。通过从复杂的背景中精确地描绘植物特征,RCNN能够对叶子形态、颜色变化和总体大小等关键属性进行集中分析。此外,与另一个深度学习框架U-net的集成,增强了该方法从植物图像中捕获局部和全局特征的能力。这种能力对于全面的性状测量和分析至关重要,因为它确保了表型过程中细致入微的细节和更广泛的特征。此外,HUMRC-PS将鹈鹕优化与交叉策略相结合,对其内部参数进行微调,优化模型性能。该方法不仅提高了植物性状鉴定的准确性和效率,而且有助于提高该方法在不同农业情景和环境条件下的适应性。通过对植物表型定制的图像数据集进行严格的实验,该研究验证了HUMRC-PS的有效性。它使用一系列评估指标来评估方法的性能,与现有方法相比,显示出具有98.76%准确率的优越结果。这一验证强调了HUMRC-PS通过提供更精确、高效和可扩展的解决方案,显著推进植物表型分析实践的潜力。通过超越传统方法的局限性,HUMRC-PS通过加强对植物性状的理解和表征,为提高农业生产力、疾病管理和育种计划提供了有希望的机会。

 

图片

图1  所提出方法的工作流程示意图。

 

图片

图2  数据集V1的样本图像。

 

图片

图3  提出的HUMRC-PS方法流程图。

 

图片

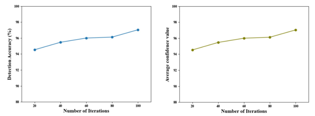
图4  HUMRC-PS方法的检测精度和平均置信值。

 

图片

图5  HUMRC-PS法的生长发育指数。

 

图片

图6 精度、召回、特异性分析。

 

图片

图7   F1分数的图形表示和AUC曲线。

 

图片

图片

图8  均方误差(MSE)和均方根误差(RMSE)分析。

 

来 源

Kumar, P., Senthilselvi, A., Manju, I. et al. HUMRC-PS: Revolutionizing plant phenotyping through Regional Convolutional Neural Networks and Pelican Search Optimization. Evolving Systems (2024).

 

 

 
 
 

编辑

王春颖

 

 

推荐新闻

石时之约|韩志国:透过表型数据,看见植物的喜怒哀乐!

本期石时之约,我们将对话慧诺瑞德(北京)科技有限公司总经理、国际植物表型学会(IPPN)执委会委员/工业分会副主席韩志国,一起从表型数据的科学角度,去读懂农作物的喜怒哀乐和前世今生。

慧科研、慧育种、慧种田——慧聚改变的力量

让我们“慧聚”在一起,为“慧科研、慧育种、慧种田”赋能。

高通量植物表型平台建设注意事项

育种,是在给定的环境条件下,选择各种表型指标(产量、品质、抗性)最优的基因型材料的过程(AI育种,从这里起步)。育种工作中大约70%的工作量来自表型观察测量和筛选,是最耗人力物力的过程。

作物生理表型测量基础原理

生理表型测量的核心在于“早、快”,要在肉眼可见之前就能测量并预判出变化趋势,才是这个技术的核心价值。叶绿素荧光成像,恰好满足了这个要求。